|
The Industrial Era 1969 In this part the internet is born with its predescessor
ARPA net, the first cpu is developed. And banking corporations start
their big efficiency haul by replacing cashiers at tellers with ATM's;
this frees the people behind the teller up for more client oriented
tasks. |
pre history | antiquity | pre industrial era | industrial era
| 1947 | 1949 | 1950 | 1952 | 1955 | 1958 | 1961 | 1963 | 1965 | 1969 | 1970 | 1972 | 1974 |
| 1976 | 1978 | 1980 | 1981 | 1982 | 1984 | 1986 | 1989 | 1991 | 1993 | 1994 | 1996 | 2000 |
| 2002 | 2005 |
| Related Articles |
| Related Resources |
|
pre history |

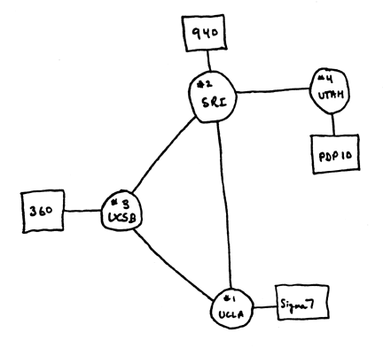
In this year the
ARPA net work is set up.
The ARPAnet began as a government program thought up in the halls of the Pentagon in 1968. BBN (Bolt, Beranek and Newman) was paid to build the connecting hardware and software, and several universities funded by ARPA were chosen to test the network. In this year, only four computers were connected to the ARPAnet. ARPANET is named after the USA government body "Advance Research Projects Agency" and is an experiment to connect various research centers in the USA by means of a packet-switching network. (10) It will be the largest network ever with millions and millions of people connected to it and be known as the internet.
The concept of networking was by no means new in 1969; even as early as the Romans a network of roads that allowed the rapid movement of troops but also the faster interchange of information by messengers. During the Napoleontic and American Civil Wars there were various schemes developed to distribute messages over a network of communication lines, primarily along lines of sight between prominent locations. (19)

Developers of DATAPOINT,
a Japanese firm op which a subsidiary is based in the USA, designs a simple
combination of a processing and calculation unit (CPU).
The semi conductor manufacturers TEXAS INSTRUMENTS and INTEL both receive the assignment to build this circuitry into one single IC. INTEL (6) succeeds but it appears that the processor they build is a factor 10 slower than what Datapoint had expected originally. Due to bankruptcy of Datapoint the project is terminated.
But turned bad to good Intel puts a team at work under Marcian (Ted)Hoff as project manager. They will invent the Intel4004 4 bits Central processing Unit(11). A computer on a chip. The official publication follows on 15 November 1971 in Electronic News(12) . This starts the electronic revolution. It is however Wayne D. Pickette that comes up with the initial idea to put a computer on a chip.
Intel announces a
1 Kb memory chip: RAM (random access memory) this was a leap forward in memory
capacity.
Gary Starkweather,
at Xerox's research facility in Webster, New York, demonstrates using a laser
beam with the xerography process to create a laser printer.
This will place Rank Xerox definitely on the map. But Xerox fails to commercialize this invention and sells the idea to HP. This company will become the major player in printers for the next decades to come.
Other manufacturers
start to make chips that were meant for special purposes.
Chips that take care for input/output and chips for memories. Together with the microprocessor that will be on the market in 1971 they form a complete processor. The microcomputer has been born.
In this year Advance
Micro Devices Incorporated is founded(8).
AMD will be a feared competitor for Intel.
This on itself will cause the prices to drop almost every month. Much faster than Intel had hoped for.
The Honeywell H316 "Kitchen Computer" is sold
via a Neiman- Marcus 1969 catalogue.

But it is very expensive. The computer can be programmed to keep track of various things like golf scores, investments. It can also plan diners and keep membership lists of charity organizations. But the price tag of 10,600 U$ - the teletype was not included - can barely justify the name of "Everyperson's" computer. (see the 1999 version of ICL's kitchen computer)
IBM puts the programming
language FORTRAN to the disposal of cinematographer John
Whitney and gave him processing time on a mainframe. Whitney creates his
and the first animated movie: 'Matrix',later
called Matrix 1.
The RS-232-C
serial interface port is now a defacto world standard. It enables communication
between al kinds of computers and peripherals. Information is still
sent bit by bit, hence the name 'serial port'(9).
Disillusioned by
the work on Multics and continuing problems with the GE 600 series machines,
Bell Telephone Laboratories withdrew from Project MAC.
Messrs. Ritchie and Thompson began working on their own operating system, that instead of being targeted to multiple users, would concentrate on the single user and thus in a play on the name Multics, it was named UNIX. The first version of UNIX ran on a PDP-7 minicomputer of Digital Equipment Company (DEC) and was completed this year. The program was written in PDP-7 assembler. Eventually UNIX will became one of the biggest forces in the Operating systems world. Both Ritchie and Thompson received the IEEE Computer Pioneer Award in 1994.(19)
The first modern
day ATM machines appeared and introduced to consumers in 1969 by Chemical
Bank.(2)

Don Wetzel was the co-patentee and chief conceptualist of the automated teller machine (ATM), an idea he thought of while waiting in line at a Dallas bank. At the time (1968) Wetzel was the Vice President of Product Planning at Docutel, the company that developed automated baggage-handling equipment. The other two inventors listed on the patent were Tom Barnes, the chief mechanical engineer and George Chastain, the electrical engineer. It took five million dollars to develop the ATM.
The concept of the ATM first began in 1968.
You can now get money outside the bank office building via a machine ("out of the wall") by inserting your bank pass into a card slot, and typing in a 4 digit personal identification number a so called PIN(33) on a numeric keypad and typing in the amount you want to withdraw. At first you could only withdraw a certain amount. But when the machine was connected to a bank's computer network it could see if your balance allowed the withdrawel from your account, then the amount requested would be paid out.
An ATM operated 24 hours 7 days a week.
There were also different facilities with these machines. At some you could deposit money and/or checks and at others you could also transfer money. There were models that changed foreign currency.The ATM machine will become extremely popular with banks and their clients because the first can cut down on employees and the latter are no longer tied to business hours to get to their money.
In the 1980' and 90's variations will be constructed for other situations like gas stations where you can pay where there is no cashier at night, you can buy your train ticket at railroad stations, or pay at shops with your bankcard via an interface connected to the banks computer. In the late 1990's there will be also portable interfaces.
During the First
NATO workshop on software development the term Software Engineer was coined,
since then this nomenclature was critisized since opponents thought the term
Engineering had nothing to do with designing software.
Shortly after the
USA government launched its third antitrust suit, IBM announced that it will
unbundle its pricing charging separately for hardware, software and services.
This decision initiated a huge and ongoing shift away from vertically integrated offerings toward a much more specialized IT industry. (1)
Dialog, an online
database provider, is launched in Palo Alto, Calif., by Lockheed Corp with a
single database. Within 15 years it grows to over 200 databases containing over
70 million records.
CompuServe Information
Service launches in Columbus, Ohio, as a computer time-sharing service.
Marshall McLuhan
publishes his Understanding Media. And described the concept of a global village,
interconnected by an electronic nervous system, part of our popular culture
well before it actually happened.
Edgar F. “Ted”
Codd invents the relational database.
"Bubble memory" devices are created for use in computers.
When (computer memory) RAM is no longer fed with power all contents of that memory will be lost. But bubble memory continues to remember its contents even when the computer is turned off.
![]()
| Last Updated on April 30, 2006 | For suggestions please mail the editors |
Footnotes & References